最近いろいろあって、孤立波というやつを授業で触れたので、それをgnuplotでやってみたとかです。
孤立波というのは津波みたいなもので、船の舳先とかで発生して、効率を悪くしてるらしく、その対策をいちばん最初にしたやつが大和だったとか。
ソリトンとかよばれたりしまして、アニメにもなってますね(ジェネレーションギャップがあるかもな)。
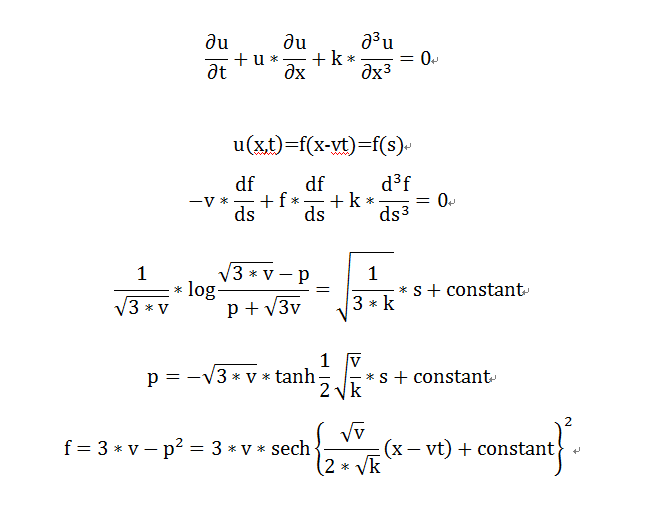
コルドベーク・ド・フリースの方程式というのがありまして

こんな感じで、一般解にたどり着くことができます。
で、奥行き方向が時間で、左右に位置があるとする。
3次元にプロットすると

こんな感じになります。
kもvも1です。
津波?
らしいです。
お、
いい動画発見。
ソリトンというのは、基本的には、減衰も干渉もされなくて、どこまでーも続いていく波のことです。
これをうまく使えないかということで、どこぞの軍隊も頑張っているらしいです。
表には出せないらしいですが。
これができれば、色々使えるらしく、結構現実的な作戦が続いているらしいです。
興味がある人はぜひ知らべてみてください。楽しいかも。
non-linear fenomena というやつですな。
[0回]
PR