忍者ブログ

明日の設計図

たまにロボットを考えるブログ・・・。

[PR]

×

[PR]上記の広告は3ヶ月以上新規記事投稿のないブログに表示されています。新しい記事を書く事で広告が消えます。

やってみた


工業大学で単振動がわからないなんていやだ。






運動方程式は
ma=-kx
一般解は
x = Acos(ω+φ)
Aとφはいにしゃるこんでぃしょん。

ω = sqrt[k/m]
T = 2*pi/(sqrt[k/m]) = 2*pi*sqrt[m/k]

れっつ実験!

1バネの準備
あさる。
見つかる。

2バネ定数の判定
おもりをつける。
長さを図る。
|mg|=|kx|

3揺らしてみる
筆箱をつけて、ぶらぶらする。
10周期の時間を計測。
理論値と比較
理論値↓
a80d850e.png・バネ定数
・199グラムの時の10周期①
・151グラムの時の10周期②
・254グラムの時の10周期③
・254グラムで、同じバネ直列の10周期④





現実↓
①4.95・・・・上の動画だよ。
②4.55
③5.87
④8.17
もちろん時間は全部秒です。

わかってると思いますが、
バネを直列にするとバネ定数は半分になるよ。




あんまり一致しないな。
長さを計った時、物差し当てただけだからかな。
動画見て時間計ったからかな。

世の中そんなもんか。
ニュートンの法則なんて信頼するに値しないな。

拍手[0回]

PR

IKEAに行けあ

lalaportの近くにあるIKEAに行きました。
天井高いですね。
なんつうか、ニホンじゃないな。
エレベータがヤバイ。
でかい。
棚がやばい
陳列棚がやばい。
買い物カートが130kgまでっていうとなんかすごいな。
面白い。
でも、わりと商品の種類は多くないのな。
会計はもっとやばい。
商品をベルトコンベアでまわしている。
バーコードを取る
載せる
まわる
他の店員さんが受け取る
包装

すごいな。空港みたいだ。


最近、お部屋の開拓が始まったからです。

はてさて、
うれしいことなのですが、
小さいうちから自分の部屋があるというのも考え物です。
私の部屋は小学生に上がるか否かぐらいで、もらいました。
なので、そのころの記憶は殆ど無いです。
自分の部屋にモノがなかった記憶は無いです。

つまり、自分の部屋ではアルが、誰のものだかさっぱりわからないものもあり、片付けようが無いものもいくらかあったわけです。
いいようによっては、親の倉庫的な役割を一部で果たしてきたわけです。

ま、そんなもんか。





拍手[0回]

I miss you

今日はCITも初日となりました。
楽しいですね。大学というのは、腹痛さえなければ。
プレゼンするがわですからね。おなか痛いのでトイレ・・・。
というわけにもいかないです。

今回お勧めするのはTAJIMAのメジャーです。
H16-35S
3.5m
尺相当目盛つきです。

よく使います。日曜大工とか。
日曜大工とかする時は、1畳2畳と計らないといけないので、少なくとも2mはほしいわけです。
かといって、2畳もあるほど大きいものは日曜大工で作るとろくなものになりません。
そこで、3.5mにしたわけですね。

もうひとつこれがいいと思う理由は、ねじ一本で外装が固定されている秀逸さです。
excellentnessです。

ですが最近ちょっと使いにくいと思っています。
それは、伸ばした状態で固定する機能がないことです。
なんでないんでしょう?
分かりません。

最近はシュルレアリスムなものが横行しているようになりましたね。
たいていは「超現実」とかいって、現実ではないもののように思われがちですが、
本来のフランス語では「過剰現実」のことです。
いつもあるものを、強意することです。
なんか、不思議な感じだぁ。
ではないです。
圧倒されるような、畏怖するような錯覚を覚える点では今も、似たようなもんですかね?

凡人にはようわからんですね。

拍手[0回]

ついに今日から授業ですね

最近のパワードスーツは微妙な縛りがあるんだな。
それと、代表選手?
イギリスかぁ、昔はネオイングランド代表っていって、ジョンブルガンダムを3年連続優勝に導いた、ガンダムファイト史上最強のファイターとうたわれる、「ジェントル・チャップマン」がいたわけですが・・・。
「戦いとは非情なものだ・・・、勝つ者がいれば、負ける者もいる・・・。」
「あんな若者が、ガンダム乗りとは、時代は変わったな・・・。」
かっこよかったなぁ。
時代は変わってしまったようです。



明日は2コマ目から、授業です。
今回は「医療用ロボット」と題しましてプレゼンします。
メインはダビンチになるようです。

でもって、いろいろ調べていると、2000年ぐらいから盛んに資料がまとめられるようになったようですね。ほんとに最近ですね。
面白いです。
たとえば、操作ボックスとカメラロボットと手術ロボットが3台セットでシステムとなっています。
遠く離れた所からお医者さんがカメラの画像と手元のマスタースレーブか何かで、操作するわけです。
手術はなるべく低侵襲でやらないといけない。というか、それが望ましい。
ですがあんまり切り方がしょぼいと作業にならない。
そこで、ちょっとした穴から、カメラとか、針とかメスみたいなものが入って、人間は外で作業するとうまくいくわけですね。

まあ、そんなうまくも行かないのでしょうけども。



ところで、こういうようなSFに出会ったことがないような気がしませんか?
人が寝てて、ロボットアームが動いていたら、間違いなくサイボーグになってますよね。
がんの切除なんか絶対やってないですよね。
SFで治療ってい言うと、酸素ボックス見たいのに入って寝てるとテキトーに治ったりしますよね。
自己治癒力とかを高めたりしているのかな?

つまり、割と想像しにくいものだってことだと思います。
患者さんとか、家族の方に受け入れやすいものかというと、そうでもないように思えます。

これからもあんまり発展するとはとても考えられません。


だれかテキトーな小説・漫画とかあったら教えてほしいですね。

拍手[0回]

もう四日も経つ

年始特番でテオさんをやっていました。

樹脂管が好きだそうです。
黄色が好きらしいです。

樹脂管で製作するため、管の曲げなどの工程が取り上げられていました。
大体のことはヒートガンで可能みたいです。
管径は10~50といったところでしょうか。
樹脂管ですべり軸受けを工夫しているところは目からうろことでもいいましょうか。

輪切りにしてつぶすことで開口部が外側に開けます。
そうすると、もともとの径の部分は、ほぼ線接触のようになり、とてもすべりのいい感じになります。
いいアイデアですね。



私自身小さいころから工作していますが、子供には”ヒートガン”というのは少し危険だったのでしょう、つかったことはありませんでした。
なので、樹脂パーツを曲げたり、なんだり、変形させて使うことはまったくなかったです。
たいていは、穴をあける程度です。
ピンバイスと、細いドリルはとても役に立ちました。
とくに、ミニ四駆に触れていたころは、穴をあけるだけで一日を終えていたような日もありました。



そう思うと、これからヒートガンの技術をしっかりと取り入れていきたいですね。
変形させる方法は「バキュームフォーマー」だけはやったことがあります。

で今日も少しやってみました。
puraasi.png(形がそろってないぜ。でも長さは結構正確だぜ)
ヒートガン当て始めると、ほんの数秒で界面が変わるのがわかり、そこで過熱は終了。
すぐ触ると少し熱いですが、テキドに板かなんか、で成型してから、手直しを加えれば十分です。
でも、ペンチとか、金属で持ったままやったりすると、その部分だけ、熱くならず見た目がへんになるので、あんまり良くないかも。

割とちょっと変形させただけでも、大きく剛性が変化することが分かってきたので、もうちょっと練習すれば軽量高剛性なフレームが作れると思うわれます。
問題は、大きくするとうまく作れません。
ちゃんと加工する道具がないとだめですね。

拍手[0回]

見よ、東方は赤く燃えている

新年
あけましておめでとうございます
本年もどうぞよろしくお願いします


元旦は大掃除
2日は初詣して、帰ってきて田舎のほうに行きました。帰ってきたのは11時過ぎです。


さて、すでに三が日もおしまいです。
今日はいつもどおり大学に行きました。
そうすると、年末はすっからかんだったN1棟にもにわかに活気(?)が出てきたようです。
私のところはしずかですが。
部室のほうも静かでした。

部室等の真ん中の出入り口から外見でますと、バイク置き場でして、いくらか緑が茂っていたりします。その中にアスファルトの道があります。
帰り道に、自転車を取りに行くとみっちの真ん中に魚が落ちていました。
魚が!
魚が?

そのとおり、魚です。
私はフィッシャマンではないので、なんと言う魚かは知りませんが、左半身を上に落ちていました。
スズメバチは凍え死んだと思いますが、魚はここまで来て死ぬのか、なあ?
丸ごと一匹だったので、料理の一部とも考えにくいです。
ま、少し暗がりだったので、本物かどうかの確認はしていませんが・・・。
はっきり言ってちょっとビビりました。

人生足元もしっかり見ていかないと、掬われてしまいます。

今回は写メしたのですが、FAT化されても4GBのSDカードはBIBLOでは読めません。
ケータイでは読めるのだが・・・。
Let'sのときに写真載せますね。



拍手[0回]

オオミソカ!

2010年も、もう終わりですね。

大学生の3年目も、もう佳境に入ります。

さて、今日は朝といってもすでに日は昇り終えていたような、という時間帯に19階に赴きました。
むろん自転車ですが。

正門をくぐりますと、いまだ工事中のN2棟が見えます。その横には、工事がせり出してなくなってしまった歩道の代わりをする、赤いコーンが並んでいます。
それと工事のフェンスの間を歩いて目標に向かいます。

いつもはN2棟を見ているので、よく見たことはありませんでしたが、今日は心機一転、下のほうを見ながら歩いていました。
そうしたら、スズメバチが凍え死んでいました。
スズメバチをこんなにじっくり見られるチャンスは、もはやないと思い。それとなく眺めていました。いつものうっとうしい、喧騒も今日はさほど感じず、周りの目も気にすることもなく時間を使いました。

時には面白いこともありますね。

小学校のアルバムでは、『尊敬する人』の欄に「ジャン・アンリ・ファーブル」と書きました。
本気で虫と戯れていたのは、低学年の頃だったかと思う。記憶はあいまいなものだ。
中学校以降にそんな欄はなくなりました。

◆CNC切削記録
材料
ポリカーボネート
厚さ3ミリ

エンドミル
刃径1と2(樹脂用ロングネック)
M2のしたあなのために1.6の穴をあける必要があった
超硬スクエアエンドミル

単純な穴
直角
カーブはなし
斜めもなし
ポケットもなし
直穴もなし

z cut 10
xy cut 500
切り込み量 0.1
深さ 3.1 貫通

1時間のデータを切削
30分程度のところで、停止
原因不明
「reset」するもキーボードすら受け付けない
MACH3を再起動
途中からにGコードを改変
再開
目測で原点合わせ
問題なく加工完了


原因不明のままである。
切削状況はまあまあ良好。切粉が長くつながってエンドミルに絡まることがある。
ロングネックは大量にからみついて折れてしまう可能性があるので、気をつけたほうがよい。
おそらく、エンドミルの切れ味の低下に起因すると思われる。
エンドミルは以前にPAIを10時間程度けづったのみであるが、
少しは可能性をこれまでも考えていたが、PAIはエンドミルを消耗させるようである。
5ミリ厚にタップした時も相当な熱を持ってしまうので、影響はあると思って間違いない。


拍手[0回]

ついか

CNCの記録をつけると言いましたね。

◆CNC切削記録
白で基盤切削の巻。

・エンドミル
UTdryっていうのかな?
φ0.3
ジャンクのため詳細不明。

・基板
生基板?というのかな。
拾ったので詳細不明
t = 1.6

z cut = 2
xy cut 40
切り込み量 = 0.01
深さ = 0.08
で配線図を削る

おおよそ問題ないと思う。
パターンの幅は0.34ぐらいで大丈夫っぽい。

・外形と穴
エンドミル
φ1

z cut 6
xy cut 250

切り込み量 = 0.1
貫通

至って正常。
よくできた感じ。

◇おおよそ解決した。
いい感じで削れます。
最終的な問題があるとすれば、接した円を線上を削ると極端に細い線が削れるのでピラピラーとしたものができます。
そうすると、ふにゃってなって隣のランドと接触して一苦労。
まあ、見てとってなんとかなるので何も起きないけれど。少し面倒。


終わり

拍手[0回]

もういくつ・・・

さて、もうそろそろ年賀状を考えないといけないですね。
毎年、去年もらった賀状の分だけは少なくとも書くことにしています。
(少しずつ減っている)
過去最高は41枚だった気がするが。
現状は2桁を維持するので精一杯。

いつも干支の絵を筆ペンでかいて、プリントごっこするのが楽しみでした。
ですが最近は、枚数も減りそのためにプリントごっこの原本を作るのがもったいないような気がしてます。

干支の絵といえば、毎年結構念入りに考えます。まず、手本を探します。図鑑だったり、広告だったりまあ、いろいろ。
酉のころまでは良くかけていたような気がしますが。歳を取るにつれ、筆の動きが鈍くなってきたのか、満足のいかないものにGOサインを出していました。

そんなこんなで去年はついに「寅」という字一文字にしました。
いや、してしまいました。

今年はどうしたものかなあ。



「イカ焼きというのはおいしいのかな?」



先日図面として掲載した回路のマイコンはH83694です。
あいも変わらず。といわれてしまいますね。
でも毎回作るたびにあたらしいもんだいにぶつかります。
何度使っても、微妙に使いきれていないようです。

今回も、昨日デバッグしまして、「書き込めないぞ!」
結構新しいパターンです。
いちばん最初に作った回路もまず書き込みで失敗したことなんてなかったのに。

いろいろあった結果問題は解決しました。
1、配線不備
2、配線不備
⇒とりあえずマイコン周りを一掃してマイコンのみにする。
3、コネクタ逆ざしだった
⇒書き込めた!⇒printfできない!⇒他の回路にさすとできる!
4、プログラム不備

のような展開でした。

プログラム不備は良くわかりません。
//////------IRQの設定------//////
IO.PMR1.BIT.IRQ3 = 1;   /* P14/IRQ0端子の機能選択 0:汎用入出力ポート 1:IRQ0入力端子 */
IEGR1.BIT.IEG3 = 1;     /* IRQ0エッジセレクト 0:IRQ0端子入力の立ち下がりエッジを検出 1:IRQ0端子入力の立ち上がりエッジを検出  */
IRR1.BIT.IRRI3 = 0;     /* IRQ0割り込み要求フラグクリア */
IENR1.BIT.IEN3 = 1;     /* IRQ0端子の割り込み要求 0:しない 1:する  */

IO.PMR1.BIT.IRQ3=1;   /*1で割り込みピン 0ただのIOポート*/


IO.PCR1=0x07;  /*入力ポート*/

↑これらを、前のプログラムからの流用だったためそのままにしておいたら、回路によってシリアルが掃けませんでした。
消したらはけました。消しただけです。

そういうものなんだろうなあ。
と、納得するほか無いです。



拍手[0回]

孤立波

最近いろいろあって、孤立波というやつを授業で触れたので、それをgnuplotでやってみたとかです。


孤立波というのは津波みたいなもので、船の舳先とかで発生して、効率を悪くしてるらしく、その対策をいちばん最初にしたやつが大和だったとか。

ソリトンとかよばれたりしまして、アニメにもなってますね(ジェネレーションギャップがあるかもな)。


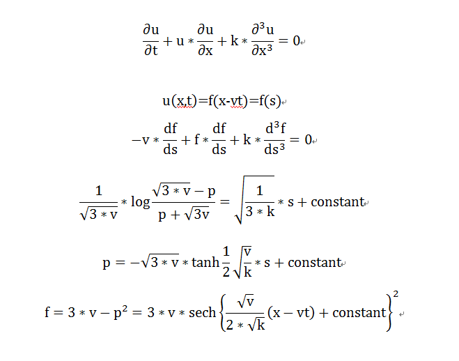
コルドベーク・ド・フリースの方程式というのがありまして
3b1906b6.pngこんな感じで、一般解にたどり着くことができます。










で、奥行き方向が時間で、左右に位置があるとする。
3次元にプロットすると
29ef5d18.pngこんな感じになります。





kもvも1です。

津波?

らしいです。

お、いい動画発見。


ソリトンというのは、基本的には、減衰も干渉もされなくて、どこまでーも続いていく波のことです。
これをうまく使えないかということで、どこぞの軍隊も頑張っているらしいです。
表には出せないらしいですが。
これができれば、色々使えるらしく、結構現実的な作戦が続いているらしいです。



興味がある人はぜひ知らべてみてください。楽しいかも。
non-linear fenomena というやつですな。





拍手[0回]

プロフィール

HN:
Adel
年齢:
36
性別:
男性
誕生日:
1989/09/17
職業:
会社員
趣味:
モチベーション探し
自己紹介:
ロボットつくるのが夢

ブログ内検索

アクセス解析